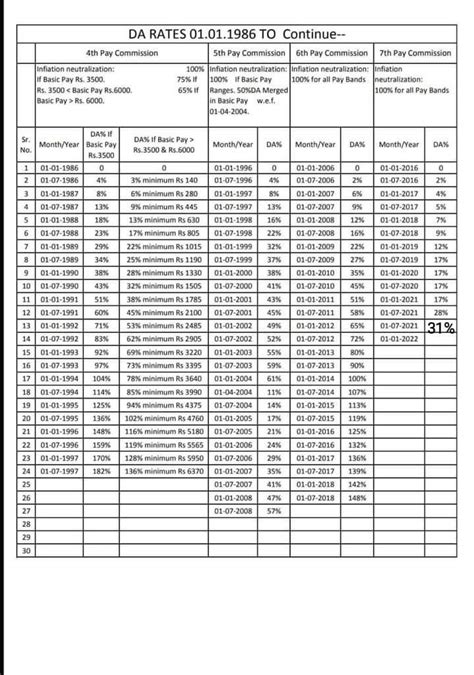
DA Rates: 1986-2021 PDF Download Guide

M.Myconferencesuite 35 views
DA Rates: 1986-2021 PDF Download Guide

DA Rates: A Comprehensive Guide (1986-2021) PDF Download

Hey everyone! 👋 Ever found yourself scratching your head, trying to figure out the DA rates from back in the day? Well, you’re not alone! It’s super important for understanding how things have changed. This guide is your one-stop shop for everything related to DA rates from 1986 to 2021. And guess what? We’ll even point you in the direction of a handy PDF download to make your life easier. 😉

DA rates (or Dearness Allowance rates) are essentially a cost-of-living adjustment paid to government employees and pensioners in India. These rates are revised periodically to offset the impact of inflation, ensuring that the real value of their salaries and pensions remains relatively stable. Think of it as a way to help people keep up with the rising prices of everyday goods and services. The DA rates are usually expressed as a percentage of the basic salary or pension. So, as the cost of living goes up, the DA rate increases, and employees and pensioners receive a higher allowance. This system is super important for social and economic stability, helping to protect the financial well-being of a significant portion of the population.

Now, why is it important to know the DA rates from 1986 to 2021? Well, for several reasons, guys. First off, it offers a fascinating glimpse into the economic landscape of India over several decades. You can see how inflation and government policies have impacted the lives of employees and pensioners. Secondly, it can be super useful if you are doing any kind of research related to government jobs, pensions, or economic history. If you are a finance person, this is especially important. Thirdly, understanding past DA rates can help you appreciate the evolution of government policies and the way they affect citizens. Plus, it is very important if you are planning for retirement, because you need to understand how the cost of living will change in the future. So, if you’re trying to figure out the historical salary of someone back then, the DA rates are your key. Finally, the availability of these rates in a PDF format makes it accessible and easy to use. No more tedious searching through multiple sources – everything you need is in one place. Whether you’re a student, a researcher, or just someone curious about the history of DA rates , this guide will provide you with the information you need. We’ll delve into the context of these rates, the factors that influenced them, and where you can find the data you’re looking for. Let’s dive in! 🚀

Decoding DA: What You Need to Know

Alright, let’s break down the basics of DA (Dearness Allowance) . As we mentioned earlier, it’s an allowance designed to help government employees and pensioners deal with the rising cost of living. It’s calculated as a percentage of their basic salary or pension. This percentage changes over time, as the government revises the DA rates based on inflation and other economic factors. The goal is to make sure that the purchasing power of these individuals doesn’t get eroded by inflation. The government’s decision to provide DA is based on the recommendations of the Pay Commission, which is set up periodically to review and revise the salaries and allowances of government employees. These commissions analyze various economic indicators, such as the Consumer Price Index (CPI), to determine the appropriate DA rates . The DA is not just a straightforward bonus; it’s a crucial component of the financial security of millions of people across India. It impacts everything from everyday expenses to long-term financial planning, like retirement. This is how the DA works, in a nutshell.

But, how does it all work? Well, the process starts with the government collecting data on the cost of living. This involves tracking the prices of essential goods and services, such as food, housing, transportation, and healthcare. This data is then used to calculate the CPI. The CPI is used to measure the average change over time in the prices paid by urban consumers for a market basket of consumer goods and services. The DA rate is then typically linked to the CPI, which means it increases when the CPI goes up. The DA rates are reviewed and revised periodically, usually twice a year. The revision frequency, and the method of calculation, can vary from one government to another. In fact, you can find the DA rates for different time periods. It’s often announced in the form of a percentage. When the government announces an increase in the DA rate , it means that employees and pensioners will receive a higher percentage of their basic salary or pension as DA . The increase is applied from a specific date, and the arrears are paid out in the subsequent months. Knowing how DA works can help you understand the salary structure of government employees and the financial benefits available to pensioners. If you’re a government employee or a pensioner, staying informed about the DA rates is crucial. You can find up-to-date information on the website of the Department of Personnel and Training (DoPT) and other government websites.

The Significance of Historical DA Rates

Why should you care about historical DA rates ? Well, it’s not just about numbers, folks; it’s about understanding the past to make better decisions in the present. Tracking DA rates from 1986 to 2021 gives us a unique perspective on India’s economic journey. It allows us to see how the government has attempted to shield its employees and pensioners from the effects of inflation during different economic eras. These rates tell a story of economic fluctuations, policy changes, and the evolving needs of the workforce. They reflect the government’s approach to financial management and its commitment to social welfare. Studying these rates is like taking an economic history lesson, revealing how different factors, such as inflation, international trade, and government spending, have influenced the financial well-being of the Indian population. For economists, these historical rates are invaluable for analyzing economic trends, modeling inflation, and evaluating the effectiveness of government policies. The DA rates provide crucial data for understanding the impact of economic changes on the income and purchasing power of millions of people. It is super helpful to understand the implications of economic policies on the income and purchasing power of millions of people over time. This data is essential for accurate economic forecasting and planning. By studying past DA rates , we can learn from past successes and failures, helping us make more informed decisions about the future. It’s also important if you’re trying to figure out how much someone earned, or how much their pension was back in the day, the DA rates are key to making accurate calculations. Whether you are conducting academic research or simply satisfying your curiosity, knowing these historical DA rates can open a door to deeper insights into India’s economic history. It gives you the full picture. So, it’s not just about the numbers; it’s about the bigger picture. It’s about connecting the dots and understanding how these rates have influenced the lives of countless individuals. Get ready to go back in time, and learn some economic history!

Finding the PDF: Your Download Guide

Okay, so where can you actually find a PDF with these DA rates from 1986 to 2021? Luckily, there are a few good places to start your search. The best resources are usually the official government websites. Look for sites related to the Department of Personnel and Training (DoPT), the Ministry of Finance, or the Controller General of Accounts. These sites often have historical data readily available for download. They are considered the most reliable sources. Be sure to check them out first. You might also find the information on the websites of the various ministries and departments that deal with government employees and pensioners. These websites are dedicated to providing information. Another good place to look is online archives and databases, which often compile public records. Just be sure to verify the accuracy of the data by cross-referencing it with the official sources. Use Google to look for specific keywords like “DA rates 1986-2021 PDF” or “Dearness Allowance history India.” You should be able to turn up some useful results. You can also explore specialized websites dedicated to government job information and salary structures. These sites often provide detailed breakdowns of DA rates and other allowances. Sometimes, you may find the data in government reports, budget documents, or press releases. These reports will often contain the latest DA information. These reports will often contain the latest DA information. Just remember, when downloading any PDF, make sure it comes from a reputable source to avoid any potential security risks. Always check the source’s credibility. If you’re still having trouble finding the PDF, try searching for the individual years you are interested in. This can often help you narrow down your search. If you can’t find a single PDF covering the entire period, you may need to compile the data from multiple sources. It might be a little more work, but it’s worth it. Keep in mind that data may be presented in different formats. Some documents may be spreadsheets, while others may be tables. You may need to convert the data into a format that works best for your needs. Good luck with your search, guys! 🍀

Understanding the DA Rate Calculation

Alright, let’s geek out a little and delve into the calculation of DA rates . Understanding how these rates are calculated is super important because it helps you appreciate how they reflect the economic realities of the time. The calculation is typically tied to the Consumer Price Index (CPI), which measures the average change over time in the prices paid by urban consumers for a market basket of consumer goods and services. The government uses the CPI to determine how much the cost of living has changed. The DA rate is often expressed as a percentage of the basic salary or pension. The percentage is calculated based on the increase in the CPI. The specific formula can vary slightly over time or from one Pay Commission’s recommendations to another. However, the basic principle remains the same. The calculation formula takes into account the base year for the CPI and the difference between the current CPI and the base CPI. The base year is the year that the CPI is based on. The government uses a specific formula to adjust the CPI. This formula ensures that the DA rate reflects the actual impact of inflation on the cost of living. The calculation method usually involves a fixed formula that accounts for the fluctuations in the CPI. The government ensures that the DA rate is reviewed and revised periodically, usually twice a year. This ensures that employees and pensioners are protected against inflation. The Pay Commission plays a significant role in determining the formulas and methodologies used for calculating the DA rates . Each Pay Commission’s recommendations are very important. The Pay Commission’s recommendations are then implemented by the government. The specifics of the formula can be found in the Pay Commission reports and circulars issued by the government. If you’re really interested in the nitty-gritty details, you can refer to the Pay Commission reports. These reports contain the detailed formulas and methodologies used. This level of detail is usually for the serious researchers. It gives you the full scoop. Keep in mind that the formula and calculation method can change over time. It is important to stay updated. You can always refer to the official government guidelines for the latest information. Don’t worry, you don’t need to be a math whiz to understand the basics. The key takeaway is that the DA rate is calculated to keep pace with the rising cost of living, helping government employees and pensioners maintain their purchasing power. 💯

Tips for Using DA Rate Data

Okay, let’s talk about some handy tips for using the DA rate data you find. First of all, always double-check the source of the data to make sure it’s reliable. Look for official government websites or reputable sources. Make sure the data is accurate. Another crucial tip is to understand the context. Pay attention to the economic conditions and government policies in place during the period you’re studying. This will help you understand why certain changes in DA rates occurred. Remember that DA rates are usually linked to the CPI. If you’re using this data, it’s also helpful to look at CPI data for the same period. This can help you better understand the impact of inflation on the rates. If you’re comparing DA rates across different time periods, be sure to account for any changes in the base year of the CPI. This will help you make accurate comparisons. The base year is very important. Always be careful about how you represent the data. Use clear and concise language. It makes it easier to understand. If you’re working with the data, consider using charts and graphs. Visuals can help you see trends and patterns more easily. Another helpful tip is to stay organized. Keep track of your sources, and make sure you have everything documented properly. This will make it easier for you to reference your work. When working with historical data, it’s always a good idea to cross-reference it with other sources. This will help you verify the accuracy of the information. Finally, consider the limitations of the data. Historical data may not always be perfectly accurate, and some information may be missing. Be aware of any limitations, and make sure to account for them in your analysis. By following these tips, you’ll be able to make the most of your DA rate data and gain valuable insights into the Indian economy. You will be a pro. đŸ’Ș

Conclusion: Your DA Rate Journey Begins

So there you have it, folks! 🎉 A comprehensive guide to DA rates from 1986 to 2021. You’re now equipped with the knowledge of how they work, where to find them, and how to use them. Whether you’re a student, researcher, or just curious, understanding DA rates is a fascinating journey into the heart of India’s economic history. Remember to always cross-reference your sources, stay curious, and keep exploring! We hope this guide has been helpful and that you find the PDF download you’re looking for. Happy researching! If you have any questions, feel free to ask! We are here to help. Good luck with your search, guys! And remember, knowing the DA rates is just one piece of the puzzle. It gives a full picture.